TAMIDS Workshop
Texas A&M Univ.
10/25/22

\[\begin{equation} u(t) = \begin{bmatrix} S(t)\\ I(t)\\ R(t) \end{bmatrix} \end{equation}\]
\[\frac{du}{dt} = NN(u, p, t)\]
\[\frac{du}{dt} = f(u, p, t)\]
\[\frac{du}{dt} = NN(u, p, t)\]
| Data Driven | Physical Modeling | |
|---|---|---|
| Pros | Universal approximation | Small training set, interpretation | 
| Cons | Requires tremendous data | Requires analytical expression | 


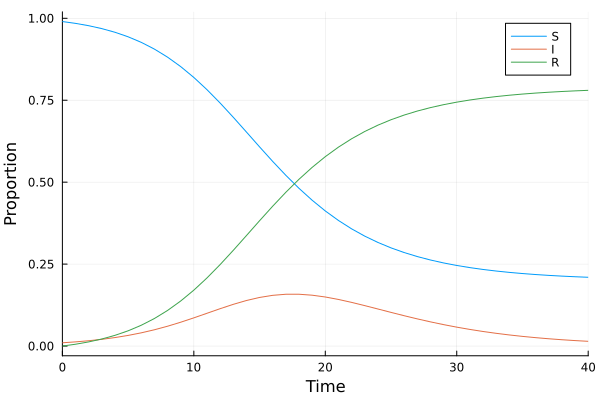
Suppose we have a ground truth model \(u(t) = [S(t), I(t), C(t)]^T\)
\[\begin{align} \frac{dS}{dt} &= -\beta S(t)I(t)\\ \frac{dI}{dt} &= \beta S(t)I(t)-\gamma I(t)\\ \frac{dR}{dt} &= \beta S(t)I(t) \end{align}\]
where \(\beta\) and \(\gamma\) are nonnegative parameters.
Data: \(\{u(t), t\}\)
Model with unknown mechanism \(\lambda: R^3\to R\). Such that \[\begin{align} \frac{dS}{dt} &= -\lambda(I(t), \beta, \gamma) S(t)\\ \frac{dI}{dt} &= \lambda(I(t), \beta, \gamma) S(t)-\gamma I(t)\\ \frac{dR}{dt} &= \lambda(I(t), \beta, \gamma)S(t) \end{align}\]
Also, let \(\lambda\) be the approximated function of a part of the truth model
\[\begin{align} \frac{dS}{dt} &= -\lambda_{NN}(I(t), \beta, \gamma) S(t)\\ \frac{dI}{dt} &= \lambda_{NN}(I(t), \beta, \gamma) S(t)-\gamma I(t)\\ \frac{dR}{dt} &= \lambda_{NN}(I(t), \beta, \gamma)S(t) \end{align}\]
Universal Differential Equation (UDE)
\[\begin{align} \frac{dS}{dt} &= -\lambda_{NN}(I(t), \beta, \gamma) S(t)\\ \frac{dI}{dt} &= \lambda_{NN}(I(t), \beta, \gamma) S(t)-\gamma I(t)\\ \frac{dR}{dt} &= \lambda_{NN}(I(t), \beta, \gamma)S(t) \end{align}\]
| Tasks | SciML Package | 
|---|---|
| ODE solver | DifferentialEquations.jl | 
| Neural network | Flux.jl/Lux.jl | 
| Differential programming | Zygote.jl | 
| Optimization | Optimization.jl | 

\[\begin{align} \frac{dS}{dt} &= -\lambda_{NN}(I(t), \beta, \gamma) S(t)\\ \frac{dI}{dt} &= \lambda_{NN}(I(t), \beta, \gamma) S(t)-\gamma I(t)\\ \frac{dR}{dt} &= \lambda_{NN}(I(t), \beta, \gamma)S(t) \end{align}\]

\[\lambda_{NN}(I, \beta, \gamma) \approx \beta I\]